ブロマイド経験値テーブル コメント一覧 (2ページ目)
-
-
-
774@SB69er
-
-
-
-
774@SB69er
257年まえ ID:tg13wuu7キンタウルスLR(355型)上限解放
Lv51→60
-
-
-
-
774@SB69er
247年まえ ID:tg13wuu7ダル太夫LR(336型)上限解放
Lv51→60、61→75
しばりんLR(336型5500)と同型と思われる
-
-
-
-
774@SB69er
-
-
-
-
774@SB69er
-
-
-
-
774@SB69er
217年まえ ID:jb2xux0lチタンLR 上限解放 Lv.50→60 / Lv.60→75
-
-
-
-
774@SB69er
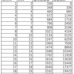
207年まえ ID:l1r05ovpシュウ☆ゾー・夢銀河☆レジェンドゥit! 50から60まで
左からLv、次Lv、必要経験値量、
Lv1から累計経験値量、
Lv50から累計経験値量です。
-
-
-
-
774@Gamerch
-
-
-
-
774@Gamerch
188年まえ ID:dnbkxybpロージア・ハピハピクリクリアイドル伝説♡ 355型ブロマイド経験値テーブル
-
-
-
-
774@Gamerch
-
-
-
-
774@Gamerch
-
-
-
-
774@Gamerch
-
-
-
-
774@Gamerch
148年まえ ID:kb7hypz2月里村No1JKドラムメジャー・きっつん
Lv60
-
-
-
-
774@Gamerch
-
-
-
-
774@Gamerch
-
-
-
-
774@Gamerch
118年まえ ID:akpussed神輿onZA堕天降臨お祭黙示録ッ!クロウ 20型 Lv.50→60
-
-
-
-
774@Gamerch
108年まえ ID:iezzx9z0深紅の堕天背徳Ragnarøk:アイオーン 29型 Lv.50→60 Lv.60→75
土用の丑の宇宙鰻蒲焼き・ウチュウラー 30型 Lv.50→60
-
-
-
-
774@Gamerch
98年まえ ID:o5hpdgwmLRシアンのLv.20までの経験値をまとめました。
以前に投稿してくださった方のテーブルとの食い違いはないようです。
記事作成の一助となれば幸いです。
-
-
-
-
774@Gamerch
88年まえ ID:hgs8rgtf323型(?)
LRシュウ☆ゾーの必要経験値を
メモしたものです。お納めください。
-
-
-
-
oruka.s
78年まえ ID:kiu9llu0最初に感謝有栖川を使ってしまったので途中が飛んでしまいましたが;、LRシアンの経験値をメモしました!
Lv.1時の経験値型は「336」のようです。
いち情報としてお納めください、いつもお世話になっておりますm(_ _)m
-
-
-
-
774@Gamerch
-
-
-
-
774@Gamerch
58年まえ ID:nedhohv6誰でも編集できるから誰か作ってもいいのよ
こっちの記述方式に合わせるのが面倒ならGoogleスプレッドシートで公開したら書き直して掲載してくれると思うよ!
-
-
-
-
774@Gamerch
48年まえ ID:g75pn92xLRの経験値テーブルは作らない方向?
-
-
-
-
774@Gamerch
39年まえ ID:a21ji7fa覚醒で経験値型が変わる場合のLv99までの必要経験値量
・20->29
Lv1覚醒(718418)>Lv50覚醒(667106)
・20->30
Lv1覚醒(630937)>Lv50覚醒(612113)
・29->20
Lv1覚醒(372692)<Lv50覚醒(424104)
・29->30
Lv1覚醒(630937)<Lv50覚醒(663425)
・30->20
Lv1覚醒(372692)≦Lv50覚醒(372792)
・30->29
Lv1覚醒(718418)>Lv50覚醒(685930)
存在しない変化型もあるので理論上
-
-
-
-
774@Gamerch
210年まえ ID:d8cl6996この表29型の経験値計が60レベル以降次レベルまでの合計と合いませんね
画像と比較すると経験値計とは合ってるのですが60のNextから食い違ってます。
-
-
-
-
774@Gamerch
110年まえ ID:lo0473lx累積経験値をグラフ化
-

