テニスコート
最終更新日時 :
1人が閲覧中
テニスコート
「初級:コート増設計画!」クエストクリアで入手。
ソウルを生産する施設で、テニスのルーンで強化可能。
- 最大レベル(Lv30)まで強化するとソウル生産量0.075/保有量1600になる。
- 全て完成するまで7日と1時間40分
- 必要なテニスのルーン総数は310個
外観
| 施設 Lv | 1~ | ~29 | 30 |
|---|---|---|---|
| 画像 |
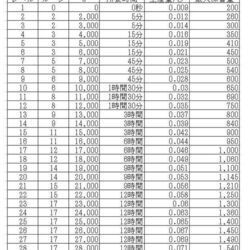
建築に必要なアイテム・効果・時間
| レベル | ルーン | G | 所要時間 | 生産量/秒 | 最大保管量 |
|---|---|---|---|---|---|
| 1 | 0 | 0 | 0秒 | 0.009 | 200 |
| 2 | 2 | 2,000 | 5分 | 0.012 | 260 |
| 3 | 2 | 3,000 | 5分 | 0.014 | 300 |
| 4 | 3 | 4,000 | 15分 | 0.016 | 350 |
| 5 | 3 | 5,000 | 15分 | 0.019 | 410 |
| 6 | 3 | 6,000 | 15分 | 0.021 | 450 |
| 7 | 5 | 7,000 | 45分 | 0.023 | 500 |
| 8 | 5 | 8,000 | 45分 | 0.025 | 540 |
| 9 | 6 | 9,000 | 45分 | 0.028 | 600 |
| 10 | 6 | 10,000 | 1時間30分 | 0.030 | 650 |
| 11 | 8 | 11,000 | 1時間30分 | 0.032 | 690 |
| 12 | 8 | 12,000 | 1時間30分 | 0.035 | 750 |
| 13 | 9 | 13,000 | 3時間 | 0.037 | 800 |
| 14 | 9 | 14,000 | 3時間 | 0.039 | 840 |
| 15 | 11 | 15,000 | 3時間 | 0.042 | 900 |
| 16 | 11 | 16,000 | 6時間 | 0.044 | 950 |
| 17 | 12 | 17,000 | 6時間 | 0.046 | 1,000 |
| 18 | 12 | 18,000 | 6時間 | 0.049 | 1,060 |
| 19 | 14 | 19,000 | 9時間 | 0.051 | 1,100 |
| 20 | 14 | 20,000 | 9時間 | 0.053 | 1,145 |
| 21 | 15 | 21,000 | 9時間 | 0.056 | 1,210 |
| 22 | 15 | 22,000 | 12時間 | 0.058 | 1,250 |
| 23 | 17 | 23,000 | 12時間 | 0.060 | 1,300 |
| 24 | 17 | 24,000 | 12時間 | 0.063 | 1,360 |
| 25 | 17 | 25,000 | 12時間 | 0.065 | 1,400 |
| 26 | 17 | 26,000 | 12時間 | 0.067 | 1,450 |
| 27 | 17 | 27,000 | 12時間 | 0.069 | 1,490 |
| 28 | 17 | 28,000 | 12時間 | 0.071 | 1,540 |
| 29 | 17 | 29,000 | 12時間 | 0.073 | 1,580 |
| 30 | 18 | 30,000 | 12時間 | 0.075 | 1,600 |
| 合計 | 310 | 464,000 | 169時間40分 | ||
逆引き早見表
| レベル | ルーン | G | 所要時間 |
|---|---|---|---|
| 1 | 310 | 464,000 | 169時間40分 |
| 2 | 308 | 462,000 | 169時間35分 |
| 3 | 306 | 459,000 | 169時間30分 |
| 4 | 303 | 455,000 | 169時間15分 |
| 5 | 300 | 450,000 | 169時間00分 |
| 6 | 297 | 444,000 | 168時間45分 |
| 7 | 292 | 437,000 | 168時間00分 |
| 8 | 287 | 429,000 | 167時間15分 |
| 9 | 281 | 420,000 | 166時間30分 |
| 10 | 275 | 410,000 | 165時間00分 |
| 11 | 267 | 399,000 | 163時間30分 |
| 12 | 259 | 387,000 | 162時間 |
| 13 | 250 | 374,000 | 159時間 |
| 14 | 241 | 360,000 | 156時間 |
| 15 | 230 | 345,000 | 153時間 |
| 16 | 219 | 329,000 | 147時間 |
| 17 | 207 | 312,000 | 141時間 |
| 18 | 195 | 294,000 | 135時間 |
| 19 | 181 | 275,000 | 126時間 |
| 20 | 167 | 255,000 | 117時間 |
| 21 | 152 | 234,000 | 108時間 |
| 22 | 137 | 212,000 | 96時間 |
| 23 | 120 | 189,000 | 84時間 |
| 24 | 103 | 165,000 | 72時間 |
| 25 | 86 | 140,000 | 60時間 |
| 26 | 69 | 114,000 | 48時間 |
| 27 | 52 | 87,000 | 36時間 |
| 28 | 35 | 59,000 | 24時間 |
| 29 | 18 | 30,000 | 12時間 |
| 30 | 0 | 0 | 0秒 |
コメント (テニスコート)
-
-
-
冒険者さん
119年まえ ID:nqlwuzha建築に必要なアイテム・効果・時間のデータです
-
-
-
-
冒険者さん
-
-
-
-
冒険者さん
-
-
-
-
冒険者さん
-
-
-
-
冒険者さん
79年まえ ID:mfohrgzuアニゲラの親密度とか大罪コラボの金鉱とかキャラバンご当地ソウル施設とか
基本的に運営が「復刻するか怪しい」と判断した?施設は戦闘ステ上げは望み薄なんじゃないか
ただまぁ、白テニは自社アプリなので
色々理由つけて復刻できなくもなさそうではあるが
-
-
-
-
冒険者さん
69年まえ ID:fr7wposjせめてHPかSPだけでも上がって欲しかった
-
-
-
-
冒険者さん
-
-
-
-
冒険者さん
410年まえ ID:g8dhotioなんかキャトラの顔に違和感が・・・
-
-
-
-
冒険者さん
310年まえ ID:i1kblx5k16Lv
6時間 11個
-
-
-
-
冒険者さん
-
新着スレッド(白猫プロジェクトwiki【白猫攻略wiki】)







